近期,贵州大学物理学院张立云教授团队与美国巴特勒大学韩先明教授、美国霍华德大学Prabhakar Misra教授等国际合作者,围绕K型恒星物理参数与磁活动特性开展研究,为理解银河系恒星活动规律提供了参考数据。相关成果已在SCI二区《天体物理学增刊》(The Astrophysical Journal Supplement Series, ApJS)(2025年11月,第281卷第5期)发表。该项工作的第一作者为贵州大学物理学院硕士研究生张芷若,通讯作者为贵州大学张立云教授。
K型恒星是银河系中常见的恒星类型,其活动特性与内部结构、演化过程紧密相关,是天体物理领域的常规研究方向之一。此次研究以我国大天区面积多目标光纤光谱天文望远镜(LAMOST,即“郭守敬望远镜”)DR10数据为核心,对其中K型恒星低分辨率光谱进行系统性分析,共涉及约106万颗K型恒星的133万条光谱,是该领域一次规模较大的数据处理工作。
为保障分析可靠性,团队先对数据严格筛选,选取信噪比(S/N)大于10的光谱样本,再通过“光谱去除”技术结合iSpec程序处理观测光谱,并以谱线作为诊断恒星色球层活动的关键指标。经细致分析,团队识别出15万条具有异常色球层活动的恒星光谱,计算得K型恒星活动比例约为11%,这一数据与此前G型恒星8%的活动比例形成对比,为“恒星温度与磁活动关联性”研究提供了新的观测依据。
在探究恒星活动与物理参数关系时,团队交叉匹配TESS(凌日系外行星巡天卫星)旋转周期目录、VSX(变星总表)等数据,发现K型恒星自转周期与色球层活动强度呈显著相关(图1):旋转周期小于6.20天时,活动强度基本稳定;超过该周期后,活动强度随自转周期增加而迅速减弱,为理解恒星磁活动饱和机制提供了新线索。

图1:R'Hɑ与自转周期的关系。图中红色数据点代表二者的中值;不同颜色的曲线分别对应不同分位数的分位数回归结果。
针对恒星活动与对流运动的相互作用,团队引入Rossby数(自转周期与对流翻转时间的比值)分析,计算得太阳Rossby数为1.85,并发现K型恒星存在临界归一化Rossby数0.07:该数值小于0.07时,色球层活动指标保持稳定;大于等于0.07时,随数值增大而下降,这一结果与国际相关研究相互印证(图2)。

图2:R'Hɑ与RO/ROsun的关系
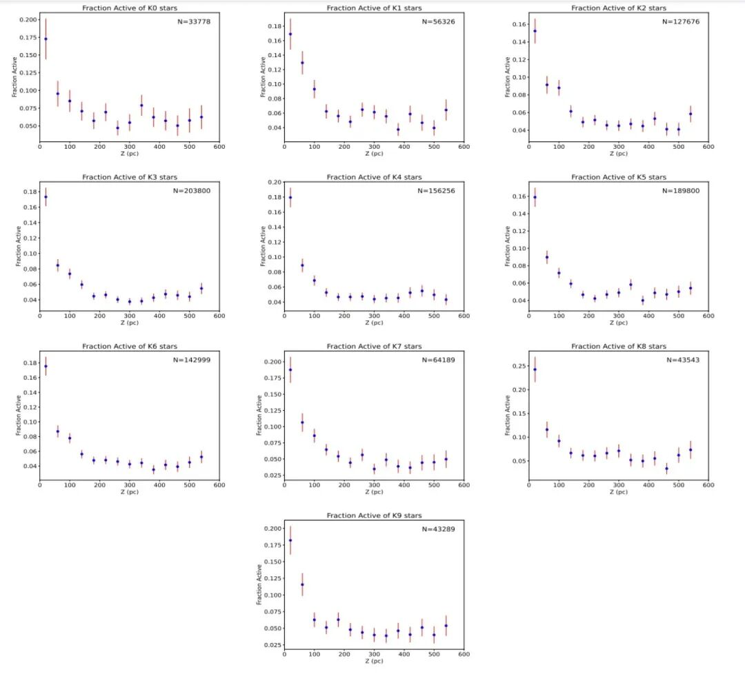
此外,团队结合Gaia(盖亚卫星)DR3数据,发现0-200秒差距(pc)范围内,K型恒星活动比例随银盘距离增加而降低,超200秒差距后趋于平稳(图3);同时通过金属丰度[Fe/H]分析,初步推测“恒星金属丰度可能影响磁活动水平”,为后续研究提供了新的研究思路。

图3:K型恒星活动比例与银盘上方距离的关系
研究还对中国空间站望远镜(CSST)观测可行性初步探索,通过将LAMOST光谱分辨率降至250(模拟CSST低分辨率条件),验证了CSST数据用于恒星色球层活动研究的潜力。后续团队将继续深入探索恒星活动规律,为天文学基础研究贡献力量。